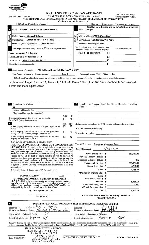
Property
Account |
| Property ID: | 594878 | Abbreviated Legal Description: | WESTWOOD #1 LOT 2 |
| Geographic ID: | S8397-00-00002-0 | Agent Code: | |
| Type: | Real | | |
| Tax Area: | 110 - APPRAISER-OH Schl Dist, outside OH, improved & 1 acre or less | Land Use Code | 11 |
| Open Space: | N | DFL | N |
| Historic Property: | N | Remodel Property: | N |
| Multi-Family Redevelopment: | N | | |
| Township: | | Section: | |
| Range: | |
Location |
| Address: | 2184 WESTWOOD PLACE OAK HARBOR, WA 98277 | Mapsco: | |
| Neighborhood: | Cycle 1 | Map ID: | 102 |
| Neighborhood CD: | 1 |
Owner |
| Name: | PEPLINSKI, BROOK L | Owner ID: | 297139 |
| Mailing Address: | 2184 WESTWOOD PL OAK HARBOR, WA 98277 | % Ownership: | 100.0000000000% |
| | | Exemptions: | |
Taxes and Assessment Details
Values
| (+) Improvement Homesite Value: | + | $0 | |
| (+) Improvement Non-Homesite Value: | + | $215,801 | |
| (+) Land Homesite Value: | + | $0 | |
| (+) Land Non-Homesite Value: | + | $200,000 | |
| (+) Curr Use (HS): | + | $0 | $0 |
| (+) Curr Use (NHS): | + | $0 | $0 |
| | | -------------------------- | |
| (=) Market Value: | = | $415,801 | |
| (–) Productivity Loss: | – | $0 | |
| | | -------------------------- | |
| (=) Subtotal: | = | $415,801 | |
| (+) Senior Appraised Value: | + | $0 | |
| (+) Non-Senior Appraised Value: | + | $415,801 | |
| | | -------------------------- | |
| (=) Total Appraised Value: | = | $415,801 | |
| (–) Senior Exemption Loss: | – | $0 | |
| (–) Exemption Loss: | – | $0 | |
| | | -------------------------- | |
| (=) Taxable Value: | = | $415,801 | |
Taxing Jurisdiction
| Owner: | PEPLINSKI, BROOK L | | |
| % Ownership: | 100.0000000000% | | |
| Total Value: | $415,801 | | |
| Tax Area: | 110 - APPRAISER-OH Schl Dist, outside OH, improved & 1 acre or less |
| CF | Conservation Futures | 0.0316035091 | $415,801 | $415,801 | $13.14 | | |
| CEM1 | Cemetery #1 | 0.0040320932 | $415,801 | $415,801 | $1.68 | | |
| FIRE2 | Fire & Rescue Dist #2 N Whidbey GEN | 0.5475949600 | $415,801 | $415,801 | $227.69 | | |
| HOBOND | Hospital BOND | 0.1910887512 | $415,801 | $415,801 | $79.45 | | |
| HOGEN | Hospital GEN | 0.3902502903 | $415,801 | $415,801 | $162.27 | | |
| CE | County Current Expense | 0.3708482477 | $415,801 | $415,801 | $154.20 | | |
| CR | County Roads | 0.4584763726 | $415,801 | $415,801 | $190.63 | | |
| ISLANDEMS | Hospital GEN (EMS) | 0.5000000000 | $415,801 | $415,801 | $207.90 | | |
| LIB | Library Sno-Isle GEN | 0.3153421757 | $415,801 | $415,801 | $131.12 | | |
| NWHIDPRMT | P & R N Whidbey GEN | 0.2004466701 | $415,801 | $415,801 | $83.35 | | |
| SCH201MO | School 201 Enrichment | 1.8559231640 | $415,801 | $415,801 | $771.69 | | |
| ST | State School | 1.3035497053 | $415,801 | $415,801 | $542.02 | | |
| ST2 | State School Part 2 | 0.8169543533 | $415,801 | $415,801 | $339.69 | | |
| | Total Tax Rate: | 6.9861102925 | | | | | |
| | | | | Taxes w/Current Exemptions: | $2,904.83 | | |
| | | | | Taxes w/o Exemptions: | $2,904.83 | | |
Improvement / Building
| Improvement #1: | RESIDENTIAL | State Code: | Y | 1130.0 sqft | Value: | $215,801 |
| Bathrooms: | 2 | Bedrooms: | 3 | | Ceiling: | DRYWALL PAINTED | Exterior Wall/Cover: | PLY/HARDBOARD T-111 | | Floor Covering: | CARPET/VINYL 80-20 | Floor Structure: | WOOD W/SUBFLOOR | | Foundation: | CONCRETE | Heating: | BASEBOARD ELECTRIC | | Interior Finish: | DRYWALL PAINT | Plumbing Fixture Cnt: | 9 | | Roof Slope: | 5" IN 12" | Roof Structure/Cover: | CJ ALUMINIUM HEAVY |
|
| | Type | Description | Class CD | Sub Class CD | Year Built | Area |
| | BAS | BASE/MAIN FLOOR | 3 | 0 | 1986 | 1130.0 |
| | AGR | ATTACHED GARAGE | 3 | 0 | 1986 | 462.0 |
| | OWP | OPEN WOOD PORCH W/STEPS | 3 | 0 | 1986 | 138.0 |
Sketch
Property Image
Land
| 1 | 15 | SQ (12001-21780) | 0.0000 | 0.00 | 0.00 | 0.00 | 1.00 | $200,000 | $0 |
Roll Value History
| 2026 | N/A | N/A | N/A | N/A | N/A |
| 2025 | $215,801 | $200,000 | $0 | $415,801 | $415,801 |
| 2024 | $222,904 | $180,000 | $0 | $402,904 | $402,904 |
| 2023 | $200,382 | $180,000 | $0 | $380,382 | $380,382 |
| 2022 | $183,926 | $175,000 | $0 | $358,926 | $358,926 |
| 2021 | $162,097 | $150,000 | $0 | $312,097 | $312,097 |
| 2020 | $157,746 | $125,000 | $0 | $282,746 | $282,746 |
| 2019 | $111,572 | $160,000 | $0 | $271,572 | $271,572 |
| 2018 | $111,934 | $140,000 | $0 | $251,934 | $251,934 |
| 2017 | $103,293 | $120,000 | $0 | $223,293 | $223,293 |
| 2016 | $104,813 | $110,000 | $0 | $214,813 | $214,813 |
| 2015 | $106,332 | $75,000 | $0 | $181,332 | $181,332 |
| 2014 | $107,850 | $60,000 | $0 | $167,850 | $167,850 |
| 2013 | $109,370 | $60,000 | $0 | $169,370 | $169,370 |
| 2012 | $110,888 | $63,750 | $0 | $174,638 | $174,638 |
| 2011 | $114,613 | $75,000 | $0 | $189,613 | $189,613 |
| 2010 | $120,613 | $75,000 | $0 | $195,613 | $195,613 |
| 2009 | $125,857 | $90,000 | $0 | $215,857 | $215,857 |
| 2008 | $127,509 | $95,500 | $0 | $223,009 | $223,009 |
| 2007 | $129,137 | $95,500 | $0 | $224,637 | $224,637 |
Deed and Sales History
| 1 | 10/19/2020 | WD | Warranty Deed | ABLENTERPRISE, LLC | PEPLINSKI, BROOK L | | | $325,000.00 | 45305 | 4499905 |
| 2 | 03/29/2018 | QCD | Quit Claim Deed | PEPLINSKI TRUSTEE, ANTHONY J | ABLENTERPRISE, LLC | | | $0.00 | 33521 | 4441820 |
| 3 | 08/08/2017 | QCD | Quit Claim Deed | PEPLINSKI, ANTHONY | PEPLINSKI TRUSTEE, ANTHONY J | | | $0.00 | 30589 | 4427953 |
| 4 | 11/17/2005 | WD | Warranty Deed | LONBORG, MICHAEL K | PEPLINSKI, ANTHONY | | | $230,000.00 | 55839 | 4154861 |
| 5 | 01/03/2001 | WD | Warranty Deed | KIMBALL, DANIEL R | LONBORG, MICHAEL K | | | $126,000.00 | 10067 | 20023112 |
| 6 | 01/01/1995 | WD | Warranty Deed | MARTIN, JAMES L | KIMBALL, DANIEL R | | | $115,000.00 | 50235 | 95001082 |
| 7 | 12/01/1989 | WD | Warranty Deed | COLLYER, MARK A | MARTIN, JAMES L | | | $77,000.00 | 96020 | 89019385 |
| 8 | 03/01/1988 | WD | Warranty Deed | VILLARREAL, GILBERT L | COLLYER, MARK A | | | $0.00 | 80647 | 88002614 |
| 9 | 09/01/1986 | WD | Warranty Deed | KOETJE, CONSTRUCTION C | VILLARREAL, GILBERT L | | | $66,400.00 | 62537 | 86011508 |
| 10 | 01/01/1900 | OTHER | Other - Misc. Documents | Unknown | KOETJE, CONSTRUCTION C | | | $0.00 | 0 | 0 |
Payout Agreement
| No payout information available.. |