Property
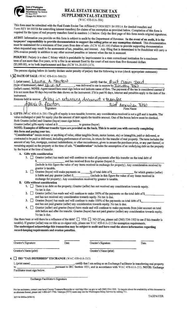
Account |
| Property ID: | 93026 | Abbreviated Legal Description: | 31 - W/2 NE SW NW EX RD UNDIV 1/2 INT EA |
| Geographic ID: | R23225-368-0850 | Agent Code: | |
| Type: | Real | | |
| Tax Area: | 512 - APPRAISER-Stan/Cam Schl Dist, improved, greater than 1 acre | Land Use Code | 11 |
| Open Space: | N | DFL | N |
| Historic Property: | N | Remodel Property: | N |
| Multi-Family Redevelopment: | N | | |
| Township: | 32 | Section: | 25 |
| Range: | R2 |
Location |
| Address: | 340 MILE HIGH DR CAMANO ISLAND, WA 98282 | Mapsco: | |
| Neighborhood: | North Camano | Map ID: | 564 |
| Neighborhood CD: | 06-C |
Owner |
| Name: | MURDOCK JTWROS, DAVID M | Owner ID: | 292886 |
| Mailing Address: | JANET C SCHNOOR, JTWROS 340 MILE HIGH DR CAMANO ISLAND, WA 98282 | % Ownership: | 100.0000000000% |
| | | Exemptions: | |
Taxes and Assessment Details
Values
| (+) Improvement Homesite Value: | + | $0 | |
| (+) Improvement Non-Homesite Value: | + | $141,498 | |
| (+) Land Homesite Value: | + | $0 | |
| (+) Land Non-Homesite Value: | + | $330,000 | |
| (+) Curr Use (HS): | + | $0 | $0 |
| (+) Curr Use (NHS): | + | $0 | $0 |
| | | -------------------------- | |
| (=) Market Value: | = | $471,498 | |
| (–) Productivity Loss: | – | $0 | |
| | | -------------------------- | |
| (=) Subtotal: | = | $471,498 | |
| (+) Senior Appraised Value: | + | $0 | |
| (+) Non-Senior Appraised Value: | + | $471,498 | |
| | | -------------------------- | |
| (=) Total Appraised Value: | = | $471,498 | |
| (–) Senior Exemption Loss: | – | $0 | |
| (–) Exemption Loss: | – | $0 | |
| | | -------------------------- | |
| (=) Taxable Value: | = | $471,498 | |
Taxing Jurisdiction
| Owner: | MURDOCK JTWROS, DAVID M | | |
| % Ownership: | 100.0000000000% | | |
| Total Value: | $471,498 | | |
| Tax Area: | 512 - APPRAISER-Stan/Cam Schl Dist, improved, greater than 1 acre |
| CF | Conservation Futures | 0.0316035091 | $471,498 | $471,498 | $14.90 | | |
| EMS1 | Fire & Rescue Dist #1 Camano GEN (EMS) | 0.3677864386 | $471,498 | $471,498 | $173.41 | | |
| FIRE1 | Fire & Rescue Dist #1 Camano GEN | 1.2502910536 | $471,498 | $471,498 | $589.51 | | |
| FIRE1BOND | Fire & Rescue Dist #1 Camano BOND | 0.1570001679 | $471,498 | $471,498 | $74.03 | | |
| CE | County Current Expense | 0.3708482477 | $471,498 | $471,498 | $174.85 | | |
| CR | County Roads | 0.4584763726 | $471,498 | $471,498 | $216.17 | | |
| LCIB | Library Sno-Isle BOND (Camano Island) | 0.0396325772 | $471,498 | $471,498 | $18.69 | | |
| LIB | Library Sno-Isle GEN | 0.3153421757 | $471,498 | $471,498 | $148.68 | | |
| SCH205_401 | School 205-401 Enrichment | 1.2698420524 | $471,498 | $471,498 | $598.73 | | |
| SCH205BOND | School 205-401 BOND | 0.9396497583 | $471,498 | $471,498 | $443.04 | | |
| ST | State School | 1.3035497053 | $471,498 | $471,498 | $614.62 | | |
| ST2 | State School Part 2 | 0.8169543533 | $471,498 | $471,498 | $385.19 | | |
| | Total Tax Rate: | 7.3209764117 | | | | | |
| | | | | Taxes w/Current Exemptions: | $3,451.82 | | |
| | | | | Taxes w/o Exemptions: | $3,451.82 | | |
Improvement / Building
| Improvement #1: | RESIDENTIAL | State Code: | Y | 780.0 sqft | Value: | $141,498 |
| Bathrooms: | 1 | Bedrooms: | 2 | | Ceiling: | DRYWALL PAINTED | Exterior Wall/Cover: | PLY/HARDBOARD T-111 | | Floor Covering: | CARPET/VINYL 80-20 | Floor Structure: | WOOD W/SUBFLOOR | | Foundation: | CONCRETE BLOCKS | Heating: | WALL HEAT ELECTRIC | | Interior Finish: | DRYWALL PAINT | Plumbing Fixture Cnt: | 6 | | Roof Slope: | 6" IN 12" | Roof Structure/Cover: | STEEL TERNE |
|
| | Type | Description | Class CD | Sub Class CD | Year Built | Area |
| | BAS | BASE/MAIN FLOOR | 3 | 0 | 1972 | 780.0 |
| | UTY | STORAGE/UTILITY | 3 | 0 | 1972 | 0.0 |
| | UTY | STORAGE/UTILITY | 3 | 0 | 1972 | 0.0 |
Sketch
Property Image
Land
| 1 | 32 | AC (03.01-09.99) | 4.9800 | 0.00 | 0.00 | 0.00 | 1.00 | $330,000 | $0 |
Roll Value History
| 2026 | N/A | N/A | N/A | N/A | N/A |
| 2025 | $141,498 | $330,000 | $0 | $471,498 | $471,498 |
| 2024 | $143,317 | $340,000 | $0 | $483,317 | $483,317 |
| 2023 | $145,135 | $320,000 | $0 | $465,135 | $465,135 |
| 2022 | $129,708 | $300,000 | $0 | $429,708 | $429,708 |
| 2021 | $114,760 | $190,000 | $0 | $304,760 | $304,760 |
| 2020 | $111,858 | $190,000 | $0 | $301,858 | $301,858 |
| 2019 | $79,626 | $220,000 | $0 | $299,626 | $299,626 |
| 2018 | $79,865 | $190,000 | $0 | $269,865 | $269,865 |
| 2017 | $80,341 | $170,000 | $0 | $250,341 | $250,341 |
| 2016 | $66,612 | $135,000 | $0 | $201,612 | $201,612 |
| 2015 | $67,504 | $124,500 | $0 | $192,004 | $192,004 |
| 2014 | $68,397 | $124,500 | $0 | $192,897 | $192,897 |
| 2013 | $69,289 | $99,600 | $0 | $168,889 | $168,889 |
| 2012 | $70,182 | $99,600 | $0 | $169,782 | $169,782 |
| 2011 | $71,074 | $124,500 | $0 | $195,574 | $195,574 |
| 2010 | $74,565 | $124,500 | $0 | $199,065 | $199,065 |
| 2009 | $76,895 | $166,830 | $0 | $243,725 | $243,725 |
| 2008 | $78,109 | $174,300 | $0 | $252,409 | $252,409 |
| 2007 | $79,340 | $174,300 | $0 | $253,640 | $253,640 |
Deed and Sales History
| 1 | 12/05/2019 | QCD | Quit Claim Deed | MURDOCK, DAVID | MURDOCK JTWROS, DAVID M | | | $0.00 | 41444 | 4477425 |
| 2 | 02/01/1995 | WD | Warranty Deed | TERRILL, DENDELL D | MURDOCK, DAVID & | | | $54,000.00 | 50480 | 95002341 |
| 3 | 10/01/1984 | REC | Real Estate Contract | ALM, WALLACE H | TERRILL, DENDELL D | | | $22,500.00 | 43012 | 84004448 |
| 4 | 01/01/1900 | OTHER | Other - Misc. Documents | Unknown | ALM, WALLACE H | | | $0.00 | 0 | 0 |
Payout Agreement
| No payout information available.. |